光学異性体の進歩性: 知財高裁平成18年(行ケ)10498
【背景】
「β2気管支拡張薬の改善使用」に関する出願(特願平4-81971、特開平5-97707)に係る発明について、特29条2項違反を理由に拒絶審決が下されたため、原告(セプラコール)は審決取消訴訟を提起した。
請求項1:
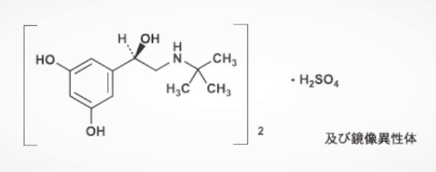
R-エナンチオマーを95%以上含有するテルブタリン又はR,R-エナンチオマーを95%以上含有するフォルモテロールを有効成分とする、副作用の抑制された、ヒトにおける炎症性または閉塞性気道疾患処置用医薬組成物。
本願発明と引用例に記載の発明とを比較すると、両者はテルブタリンを有効成分とするヒトにおける炎症性または閉塞性気道疾患処置用医薬組成物である点で一致、本願発明はR-エナンチオマーを95%以上含有するテルブタリンを有効成分とする副作用の抑制されたものであるのに対し、引用例のものはテルブタリンのラセミ体を有効成分とするものであり、副作用について特段の記載がない点で相違していた。
【要旨】
1 取消事由1(本願発明と引用発明との相違点についての判断の誤り)について
裁判所は、
サリドマイドに関する文献等に基づいて、
「優先権主張日当時には、既に当業者において、一般に、「医薬品の構造中に不斉中心が存在している薬物は,たとえ一方の光学異性体が生体に対して何らの生理活性を示さないラセミ体であっても,光学分割して目的に適合した対掌体のみを提供すべきである」ことが技術常識となっていたと認められ、それを前提とすると、当業者は,ラセミ体を有効成分とする公知の医薬組成物について,異性体を光学分割し,各々の異性体につきその薬理作用を確認し,より目的に適った異性体のみを有効成分とする医薬組成物を得ようと動機付けられるというべきである。」
とのラセミ体から光学異性体を得ることについては動機付けが存在することを示し、
本件については、
「テルブタリンについてみれば,当業者は,その薬理活性が高い(-)エナンチオマーがR-エナンチオマーであると容易に理解することができるから,テルブタリンの光学分割が技術的に不可能でない限り(文献によれば、テルブタリンを光学分割すること自体は,技術的に可能となっていたと認定された),S-テルブタリンを排除し,~R-テルブタリンのみを有効成分とする医薬組成物を得ようと動機付けられるというべきである。」
と判断した。
原告は、
「不活性なS-テルブタリンの代謝が活性なR-テルブタリンの2倍早く,体内から消失するのが早いため,当業者は,わざわざ費用をかけて光学分割をする必要がないと判断するから,動機付けが存在しない」
と主張したが、
裁判所は、
「S-テルブタリンは,代謝が早くても,生体にとって異物であることに変わりはないから,S-テルブタリンの代謝が早いことは上記アの判断に影響を与えるものではない。」
と判断した。
また、原告は、副作用の観点から、
「光学分割によりラセミ体からS-テルブタリンを排除することについては,阻害要因が存在する」
と主張したが、
裁判所は、
「その程度の薬理効果があるために,S-テルブタリンを排除することが阻害されるとは到底認められず~」
として、原告の主張を採用しなかった。
2 取消事由2(本願発明の効果についての判断の誤り)について
原告は、副作用という観点で、当業者の予測不可能性を主張したが、裁判所は原告の主張を採用せず。
請求棄却。
【コメント】
光学異性体の進歩性が争われた事例。ラセミ体から光学異性体を得ることについては動機付けが存在するとの裁判所の判断。
光学異性体の発明について、公知ラセミ体からの進歩性を主張する(動機付けを否定する)材料として
- 光学異性体の単離が技術的に困難と考えられていたか。
- 光学異性体を得るという動機付けに対して阻害要因が存在したか。
- 光学異性体が当業者にとって予測不可能な効果を生み出したか。
といった主張が考えられるが、本判決のように、一般的には、公知ラセミ体から単離した光学異性体の発明が進歩性のハードルを越えるのはかなり難しいといえる。
- テルブタリン:
アストラゼネカが気管支拡張剤(β2アゴニスト、一般名:硫酸テルブタリン(terbutaline sulfate)、商品名:ブリカニール(Bricanyl)錠)として販売しているが、ラセミ体である。既にジェネリック医薬品が参入している。 - フォルモテロール:
アステラスが気管支拡張剤(β2アゴニスト、一般名:ホルモテロールフマル酸塩水和物(formoterol fumarate hydrate)、商品名:アトック(Atock)錠)として販売しているが、ラセミ体である。
このような光学異性体の進歩性について、米国においては、例えば、下記CAFC判決がある。
- 2007.09.05 「Forest v. Ivax and Cipla」 CAFC Docket No. 2007-1059
- 2007.09.11 「Aventis and King v. Lupin」 CAFC Docket No. 2006-1530, -1555
- 2008.12.12 「Sanofi-Synthelabo v. Apotex」 CAFC Docket No. 2007-1438



コメント