知財高裁大合議判決「膨大な数の選択肢を有する一般式形式記載の化合物が引用発明となる場合とは」: 知財高裁平成28年(行ケ)10182; 10184
【背景】
塩野義製薬が保有していた「ピリミジン誘導体」に関する特許(第2648897号; 2017.05.28満了)無効審判請求(請求人として参加: 日本ケミファ)を不成立とする審決(無効2015-800095号)の取消訴訟。争点は、訴えの利益の有無、進歩性の有無及びサポート要件違反の有無。
【要旨】
裁判所は、訴えの利益を認めた上で、本件特許が進歩性及びサポート要件を充足することを認め、原告らの請求を棄却した。
1.訴えの利益の有無について
「当時の特許法123条2項は,「特許無効審判は,何人も請求することができる(以下略)」として,利害関係の存否にかかわらず,特許無効審判請求をすることができる旨を規定していた。・・・そして,特許無効審判請求は,当該特許権の存続期間満了後も行うことができるのであるから(特許法123条3項)・・・改正前の特許法の下において,特許無効審判請求を不成立とした審決に対する取消しの訴えの利益は,特許権消滅後であっても,特許権の存続期間中にされた行為について,何人に対しても,損害賠償又は不当利得返還の請求が行われたり,刑事罰が科されたりする可能性が全くなくなったと認められる特段の事情がない限り,失われることはない。以上を踏まえて本件を検討してみると,本件において上記のような特段の事情が存するとは認められないから,本件訴訟の訴えの利益は失われていない。」
2.進歩性の有無について
「進歩性の判断に際し,・・・引用発明として主張された発明が「刊行物に記載された発明」であって,当該刊行物に化合物が一般式の形式で記載され,当該一般式が膨大な数の選択肢を有する場合には,特定の選択肢に係る技術的思想を積極的あるいは優先的に選択すべき事情がない限り,当該特定の選択肢に係る具体的な技術的思想を抽出することはできず,これを引用発明と認定することはできないと認めるのが相当である。この理は,本願発明と主引用発明との間の相違点に対応する・・・「副引用発明」・・・があり,主引用発明に副引用発明を適用することにより本願発明を容易に発明をすることができたかどうかを判断する場合において,刊行物から副引用発明を認定するときも,同様である。」
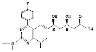
本件発明1(請求項1):
式(I):
(式中,
R1は低級アルキル;
R2はハロゲンにより置換されたフェニル;
R3は低級アルキル;
R4は水素またはヘミカルシウム塩を形成するカルシウムイオン;
Xはアルキルスルホニル基により置換されたイミノ基;
破線は2重結合の有無を,それぞれ表す。)
で示される化合物またはその閉環ラクトン体である化合物。
甲1(特表平3-501613号公報)発明:
(M=Na)の化合物
一致点:
「式(I)
(式中,
R1は低級アルキル;
R2はハロゲンにより置換されたフェニル;
R3は低級アルキル;
破線は2重結合の有無を,それぞれ表す。)
で示される化合物またはその閉環ラクトン体である化合物」である点
相違点:
(1-ⅰ)
Xが,本件発明1では,アルキルスルホニル基により置換されたイミノ基であるのに対し,甲1発明では,メチル基により置換されたイミノ基である点
(1-ⅱ)
R4が,本件発明1では,水素又はヘミカルシウム塩を形成するカルシウムイオンであるのに対し,甲1発明では,ナトリウム塩を形成するナトリウムイオンである点
原告らは、
「相違点(1-ⅰ)につき,甲1発明に甲2(特開平1-261377公報)発明を組み合わせること,具体的には,甲1発明の化合物のピリミジン環の2位のジメチルアミノ基(-N(CH3)2)の二つのメチル基(-CH3)のうちの一方を甲2発明であるアルキルスルホニル基(-SO2R’(R’はアルキル基))に置き換えること,すなわち,甲1発明の化合物のピリミジン環の2位の「ジメチルアミノ基」を「-N(CH3)(SO2R’)」に置き換えることにより,本件発明1に係る構成を容易に想到することができる」
と主張した。
しかし、裁判所は、
「甲2の一般式(I)で示される化合物は,甲1の一般式Iで示される化合物と同様,HMG-CoA還元酵素阻害剤を提供しようとするものであり,ピリミジン環を有し,そのピリミジン環の2,4,6位に置換基を有する化合物である点で共通し,甲1発明の化合物は,甲2の一般式(I)で示される化合物に包含される。甲2には,甲2の一般式(I)で示される化合物のうちの「殊に好ましい化合物」のピリミジン環の2位の置換基R3の選択肢として「-NR4R5」が記載されるとともに,R4及びR5の選択肢として「メチル基」及び「アルキルスルホニル基」が記載されている。
しかし,甲2に記載された「殊に好ましい化合物」におけるR3の選択肢は,極めて多数であり,その数が,少なくとも2000万通り以上あることにつき,原告らは特に争っていないところ,R3として,「-NR4R5」であってR4及びR5を「メチル」及び「アルキルスルホニル」とすることは,2000万通り以上の選択肢のうちの一つになる。また,甲2には,「殊に好ましい化合物」だけではなく,「殊に極めて好ましい化合物」が記載されているところ,そのR3の選択肢として「-NR4R5」は記載されていない。さらに,甲2には,甲2の一般式(I)のXとAが甲1発明と同じ構造を有する化合物の実施例として,実施例8(R3はメチル),実施例15(R3はフェニル)及び実施例23(R3はフェニル)が記載されているところ,R3として「-NR4R5」を選択したものは記載されていない。
そうすると,甲2にアルキルスルホニル基が記載されているとしても,甲2の記載からは,当業者が,甲2の一般式(I)のR3として「-NR4R5」を積極的あるいは優先的に選択すべき事情を見いだすことはできず,「-NR4R5」を選択した上で,更にR4及びR5として「メチル」及び「アルキルスルホニル」を選択すべき事情を見いだすことは困難である。
したがって,甲2から,ピリミジン環の2位の基を「-N(CH3)(SO2R’)」とするという技術的思想を抽出し得ると評価することはできないのであって,甲2には,相違点(1-ⅰ)に係る構成が記載されているとはいえず,甲1発明に甲2発明を組み合わせることにより,本件発明の相違点(1-ⅰ)に係る構成とすることはできない。
・・・仮に,甲2に相違点(1-ⅰ)に係る構成が記載されていると評価できたとしても,甲1発明の化合物のピリミジン環の2位のジメチルアミノ基を「-N(CH3)(SO2R’)」に置き換えることの動機付けがあったとはいえないのであって,甲1発明において相違点(1-ⅰ)に係る構成を採用することの動機付けがあったとはいえない。
・・・そうすると,相違点(1-ⅱ)について検討するまでもなく,当業者が,甲1発明に甲2発明を組み合わせることにより,本件発明1を容易に発明をすることができたとは認められない。」
と判断した。
3.サポート要件違反の有無について
(省略)
【コメント】
特許法29条1項3号に規定されている「刊行物に記載された発明」を検討する際に、当該刊行物に化合物が一般式の形式で記載され、当該一般式が膨大な数の選択肢を有する場合には、特定の選択肢に係る技術的思想を積極的あるいは優先的に選択すべき事情がない限り、当該特定の選択肢に係る具体的な技術的思想を抽出することはできず、これを引用発明と認定することはできない。
本件は進歩性違反の主張に挙げられた副引用発明の認定の是非が問題となったわけだが、判示された内容は、膨大な数の選択肢を有する一般式記載化合物の場合のこととはいえ、「刊行物に記載された発明」として認定される引用発明の認定是非であったことから、進歩性判断に必要な副引用発明だけでなく、主引用発明の認定判断、さらに新規性判断に必要な引用発明の認定判断にも及ぶことになるだろう。
化合物発明に係る特許出願の審査において、膨大な数の選択肢を有する一般式記載化合物が記載された刊行物が引用され進歩性欠如の拒絶理由が発せられた場合には、今回の判示内容を活用し、反論内容を検討することが出来るだろう。
本件特許は、高コレステロール血症治療薬「クレストール(Crestor)®」の有効成分であるロスバスタチンカルシウム(Rosuvastatin Calcium)を保護する物質特許であり、1992年5月28日出願、1997年に登録、特許存続期間延長登録を経て、2017年5月28日に満了した。
2015年3月31日付で請求された本件無効審判は2016年7月5日に請求不成立審決となった。従って、さらに審決取消訴訟を提起しても1年以内に(おそらく訴訟係属中に)①特許満了日(2017年5月28日)を迎えること、②物質特許が有効なものとして裁判が係属する以上、年2回やってくる後発品承認タイミングである2016年8月か2017年2月ではクレストール後発品の承認は下りないだろうこと、は予測できたと思われ、審決取消訴訟をしてもしなくても特許満了となり2017年8月のタイミングでは承認が下りることは推測できたわけであるから、あえて審決取消訴訟する必要があったのか・・・という疑問はあるが、日本ケミファはとにかく最後まで裁判を続けたわけである。
本件特許が満了する前の2017年2月にクレストールのオーソライズドジェネリック(第一三共エスファ)が承認され、同年6月薬価収載、他の後発品に先駆けて販売となった。他のクレストール後発品は本件特許満了後の同年8月に承認、同年12月に薬価収載(20社以上)となった。
日本ケミファからのクレストール後発品も同年8月15日に承認、12月に薬価収載となり、本判決前での販売となった。
本件特許の対応米国特許もジェネリックメーカーとの侵害訴訟の中で非自明性が争われ、特許権者側が勝訴している。
参考:






コメント
↓引用ありがとうございます。
2018/06/14 一弁 知的所有権法研究部会
http://nandri.sakura.ne.jp/sblo_files/nandri/image/b46804cfb66c07933891a523e84650b42fb67c46.pdf